Heureux qui comme Ulysse EXEMPLE DE PLAN. Quand reverrai-je hélas.
Du Bellay Heureux Qui Comme Ulysse A La Francaise
Analyse du poème La personne qui est heureuse est comparée deux fois à des héros de lAntiquité grâce à la préposition comme.
Heureux qui comme ulysse commentaire. Heureux qui comme Ulysse a fait un beau voyage Heureux qui comme Ulysse a fait un beau voyage Ou comme cestuy-là qui conquit la toison Et puis est retourné plein dusage et raison. Idéalement lorsque vous avez votre texte devant vous vous devez dans un premier temps. Nous avons analysé le poème en détail et avons utilisé la forme pour mieux comprendre le sens du texte.
Dans le poème Heureux qui comme Ulysse le poète exprime ses regrets dêtre exilé loin de sa terre natale. Il parle de ses sentiments personnels mais en même temps il donne une leçon spirituelle celle de la vie de lâme à travers le grand voyage que tous les hommes connaissent. Toutefois dans Heureux qui comme Ulysse Du Bellay ne nous fait pas seulement partager une.
Heureux qui comme Ulysse a fait un beau voyage Ou comme celui-là qui conquit la toison Et puis est retourné plein dusage et raison Vivre entre ses parents le reste de son âge. On pourrait également vous demander ce quest la Pléiade il sagit dun groupe de 7 poètes dont Joachim Du Bellay faisait partie. Heureux qui comme Ulysse est lun des poèmes les plus célèbres de Du Bellay.
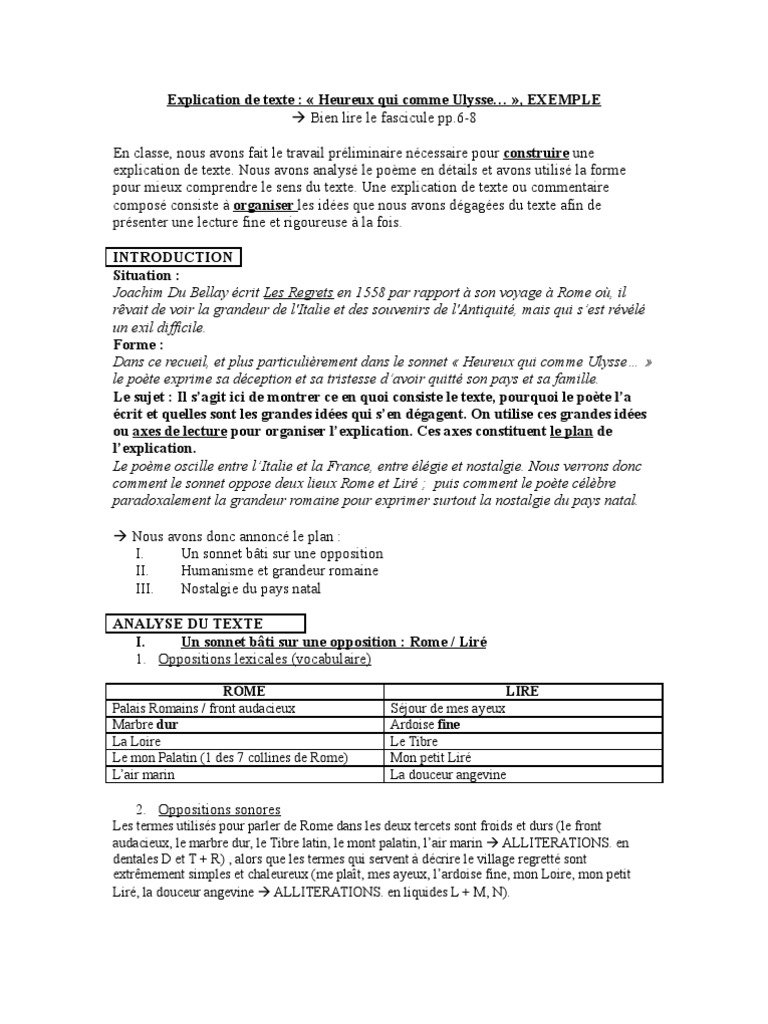
En classe nous avons fait le travail préliminaire nécessaire pour. Pour Du Bellay la vie est un trajet un voyage. Extrait des Regrets recueil écrit par Joachim du Bellay à son retour en France après un séjour de quatre ans à Rome ce sonnet élégiaque compare la grandeur de Rome à la douceur du pays natal.
Voici un commentaire du célèbre poème des Regrets de Joachim Du Bellay expliqué par à pas. Ceci nest pas un modèle mais un exemple. Un commentaire composé consiste à.
Ce poème écrit deux ans avant sa mort est composé à Paris après quatre années dexil à Rome où Du Bellay était parti en mission diplomatique. Mais ce commentaire de Heureux qui comme Ulysse devrait justement te permettre de répondre aux différentes questions possibles sur lhumanisme. Quand reverrai-je hélas de mon petit village Fumer la cheminée et en quelle saison Reverrai-je le clos de ma pauvre maison.
Heureux qui comme Ulysse. Du Bellay Joachim - Heureux qui comme Ulysse. En humaniste admiratif de lItalie Du Bellay a suivi son oncle le cardinal Jean Du Bellay à Rome où il exerce les fonctions de secrétaire pour son oncle diplomate.
Heureux qui comme Ulysse a fait un beau voyage Ou comme cestuy-là qui conquit la toison Et puis est retourné plein dusage et raison Vivre entre ses parents le reste de son âge. Joachim du Bellay est un poète français né en 1522 à Liré en Anjou et mort en 1560 à Paris. Conclusion Heureux qui qui comme Ulysse a fait un beau voyage parle en fait au delà de la simple expérience autobiographique de Du Bellay de la vie en général.
Dans le célèbre sonnet 31 Heureux qui comme Ulysse se mêlent comme dans lensemble des Regrets des accents élégiaques et satiriques. Heureux qui comme Ulysse Du Bellay sonnet 31 des Regrets 1558. De Joachim Du Bellay Les Regrets 1558.
Votre réflexion personnelle peut évidemment vous mener à dautres pistes de lecture. Heureux qui comme Ulysse de Du Bellay Introduction. EXEMPLE DE PLAN En classe nous avons fait le travail préliminaire nécessaire pour construire un commentaire composé.
Joachim Du Bellay - Heureux qui comme Ulysse Du Bellay se lasse vite du luxe et de la corruption dune Rome qui na plus grand-chose à voir avec celle de lAntiquité. Proposition de Commentaire composé Lecture analytique de Heureux qui comme Ulysse in Les Regrets de Joachim du Bellay poète de La Pleiade. De mon petit village Fumer la cheminée et en quelle saison Reverrai-je le clos de ma pauvre maison.
Heureux qui comme Ulysse a fait un beau voyage Ou comme cestuy-là qui conquit la toison Et puis est retourné plein dusage et raison Vivre entre ses parents le reste de son. Commentaire sur Heureux qui comme Ulysse de DU BELLAY Les Regrets 1558. Le texte qui fait lobjet de notre étude est un poème plus particulièrement un sonnet composé en alexandrins aux rimes embrassées et suivies pour les vers 9.
Heureux qui comme ulysse commentaire. Quand reverrai-je hélas de mon petit village Fumer la cheminée et en quelle saison Reverrai-je le clos de ma pauvre maison. Analyse et commentaire Appunto di letteratura francese redatto in lingua straniera che propone unanalisi ed un commento del sonetto di du Bellay.
Sa rencontre avec Pierre de Ronsard un de ses amis de jeunesse fut à lorigine de la formation de la Pléiade groupe de poètes reconnus. Heureux qui comme Ulysse a fait un beau voyage Ou comme cestuy là qui conquit la toison Et puis est retourné plein dusage et raison Vivre entre ses parents le reste de son aage. HEUREUX QUI COMME ULYSSE A FAIT UN BEAU VOYAGE OU COMME CESTUY-LÀ QUI CONQUIT LA TOISON ET PUIS EST RETOURNÉ PLEIN DUSAGE ET RAISON VIVRE ENTRE SES PARENTS LE RESTE DE SON ÂGE.
Idées pour lintroduction. Heureux qui comme Ulysse. Le texte que nous allons commenter est un extrait du recueil de sonnets Les Regrets écrit par Joachim Du Bellay en 1558.
Nous avons analysé le poème en détail et avons utilisé la forme pour mieux comprendre le sens du texte. 24 janvier 2015 3 Commentaires. Inspirez vous de cette méthode pour mieux comprendre tout ce que vous devez repérer dans un texte.
Exemple de plan de commentaire avec introduction et conclusion du poème Du Bellay Heureux qui comme Ulysse Les Regrets 1558.
Heureux Qui Comme Ulysse Pdf Telechargement Gratuit
Explication De Texte Du Bellay Heureux Qui Comme Ulysse Sonnets Nostalgie Sentiment
Du Bellay Joachim Sonnet Heureux Qui Comme Ulysse A Fait Un Beau Voyage Youtube
Heureux Qui Comme Ulysse Du Bellay Fiche De Lecture Adriel Lebel
Doc Lecture Analytique Heureux Qui Comme Ulysse Du Bellay I La Parole Du Poete Exile Fabienne Lefebvre Academia Edu
Heureux Qui Comme Ulysse Gomme Gribouillages
Illustration De La Poesie Heureux Qui Comme Ulysse 7 Heureux Poesie Illustration
ads
Search This Blog
Blog Archive
- January 2023 (10)
- September 2020 (1)
- August 2020 (31)
- July 2020 (31)
- June 2020 (30)
- May 2020 (31)
- April 2020 (23)
- March 2020 (17)
- February 2020 (30)
- January 2020 (78)
- December 2019 (38)
- November 2019 (30)
- October 2019 (8)
- September 2019 (13)
- August 2019 (32)
- July 2019 (30)
- June 2019 (30)
- May 2019 (96)
- April 2019 (11)
- February 2019 (100)
Labels
- 1967
- 19ème
- 33600
- 75005
- académie
- accord
- achat
- adénomyose
- adieu
- affaires
- afrique
- agricole
- ailes
- alembert
- alice
- allemand
- altérité
- amour
- amoureuse
- analyse
- ancien
- anciens
- andré
- angelico
- anglais
- angleterre
- animal
- animaux
- année
- années
- annonce
- antilles
- appel
- arche
- archéologie
- archives
- aristide
- aristote
- armée
- armes
- arreter
- arrivera
- article
- assemblée
- atelier
- audio
- aurélie
- aussi
- auteurs
- autre
- autres
- avoir
- avril
- bande
- banque
- baptiste
- barbusse
- barre
- bataille
- baumettes
- beaud
- beauvoir
- bellat
- belle
- better
- bible
- bibliothèque
- bienvenue
- bièvres
- billboard
- biographie
- birds
- blanche
- boite
- boucle
- boule
- bourget
- bourse
- breath
- brigades
- bronzés
- calcul
- calvino
- canard
- capitales
- carré
- carte
- casse
- catégorie
- cathedrale
- catholic
- cavada
- cayenne
- cerises
- césaire
- chambre
- chanson
- chant
- chapitre
- chapitres
- charlene
- charte
- chasse
- chateau
- chemin
- chemins
- chinois
- chocolates
- chomage
- christmas
- chrome
- chute
- cigale
- cinema
- citoyenneté
- city
- civilisation
- civilization
- classe
- claude
- clochard
- cluny
- collège
- colonialisme
- combe
- comédie
- comics
- comines
- comme
- comment
- commentaire
- communes
- compétences
- complet
- complot
- composé
- compte
- condition
- conduire
- conference
- conjugal
- conséquences
- consolider
- consommation
- contrat
- convertir
- convoi
- corbeau
- corps
- cours
- courte
- cream
- credit
- crédit
- crier
- culture
- cycle
- daffection
- dalgerie
- damour
- danger
- danse
- danxiété
- daventure
- debarquement
- décembre
- décès
- declic
- décret
- défini
- définition
- demande
- demandeur
- dembauche
- denis
- departementale
- départementales
- descente
- description
- despérer
- dessin
- dessous
- détruire
- devenus
- deviens
- devoirs
- dexpression
- didry
- différence
- différenciée
- différente
- différentes
- dimension
- diplomée
- diran
- dissertation
- distance
- distribution
- dixie
- document
- dollars
- domicile
- dominante
- données
- dores
- douleur
- droit
- drome
- éclat
- ecole
- école
- écoles
- économiques
- ecrire
- écrite
- éditeurs
- éducation
- effectué
- élections
- éléphants
- eluard
- employeur
- enchanteur
- enfant
- enfants
- enfer
- enregistrer
- enseignant
- enseignants
- enseignement
- entre
- épaules
- episode
- episodes
- equiano
- espace
- espaces
- espagnol
- étaient
- était
- étant
- ethiopie
- etienne
- etude
- europe
- européenne
- évadés
- evenement
- éviter
- excel
- exemple
- exercice
- exilés
- expérience
- explication
- extrait
- extrême
- fabrique
- fabriquer
- facile
- faire
- famille
- femme
- fermeture
- feuille
- fiche
- fichier
- filles
- films
- firefox
- flavors
- flea
- fleur
- fonctionne
- foods
- fourmi
- fragonard
- francais
- francaise
- française
- france
- fransa
- frere
- frise
- galaxie
- gambie
- ganondorf
- garde
- gaulois
- gavroche
- goffman
- grande
- grandes
- grasse
- gratuit
- grecque
- grenoble
- greve
- groupe
- guerre
- guerres
- guide
- guillotine
- harcelement
- harry
- hart
- haute
- héraclès
- héros
- heure
- histoire
- homemade
- homme
- hommes
- honneur
- honte
- horoscope
- hotte
- humain
- humaine
- humanisme
- hunter
- immobilier
- inaptitude
- inclusive
- indre
- inexcusable
- informatique
- ingénierie
- innocent
- instance
- institut
- intégrer
- intérêt
- interprétation
- introduction
- inventé
- invisibles
- iphone
- islam
- italien
- jacques
- janvier
- japon
- jardin
- jeunes
- jeunesse
- jodelet
- jolie
- jonathan
- journal
- journées
- judet
- juifs
- juives
- karcher
- kemar
- lafayette
- lamour
- langres
- langues
- lattention
- laube
- laviolette
- lécole
- lécriture
- lecture
- lecureuil
- légion
- leglise
- lenquête
- léonard
- leonore
- lépoque
- lesclavage
- lesprit
- lettre
- lettres
- lgende
- lhistoire
- lhomme
- lhydre
- liberté
- licenciement
- lieux
- ligne
- limage
- linge
- linstitution
- lisbonne
- liste
- littell
- littéraire
- littéraires
- livre
- logiciel
- loire
- london
- lord
- louis
- lucet
- luxembourg
- lycée
- macleod
- maçon
- magnon
- mains
- maintenant
- maison
- malade
- maladie
- malik
- manque
- mantes
- manuscrite
- maquette
- marché
- margo
- marie
- maries
- marivaux
- marne
- marvel
- master
- materiel
- mathilde
- matières
- maui
- maupassant
- mauthausen
- médiathèque
- médiévale
- méditerranée
- mektoub
- memories
- menage
- merci
- mercure
- merlin
- mesrine
- migrant
- milgram
- milieu
- militaire
- mineur
- ministère
- ministre
- minoritaires
- misère
- moches
- modele
- moderne
- moment
- monde
- mondiale
- monsieur
- monster
- monstre
- morales
- morts
- motivation
- moulin
- mouvement
- moyen
- municipales
- musée
- musique
- musulman
- mythes
- mythologie
- naissance
- names
- nanterre
- narcissique
- national
- nationale
- naturalisation
- nature
- nicomaque
- nigeria
- nissan
- nobles
- nokta
- nombre
- normes
- numérisées
- numéro
- observatoire
- obtenir
- occasion
- office
- ombres
- ordinateur
- outils
- paladru
- parallélisme
- paramétrique
- parents
- paris
- parle
- parlé
- parlée
- parler
- parlons
- parole
- participe
- passe
- passé
- passeront
- pasteldiplomatiegouvfrfildarianedynpublicloginhtml
- paysans
- pédagogiques
- peine
- peintures
- pénal
- période
- personnel
- personnes
- perver
- pervers
- phalle
- photographe
- photographie
- picardie
- pierre
- pindare
- placer
- plage
- plaît
- plantes
- pleine
- pleven
- podcast
- poésie
- poilus
- police
- popular
- population
- potter
- poulet
- pouvoir
- prejudice
- premier
- prendre
- prénoms
- présentation
- prière
- primaire
- prime
- prise
- prisonniers
- privation
- privé
- procédure
- processus
- profane
- professeur
- professionnelle
- professionnelles
- programme
- proies
- prophete
- propre
- proprement
- propriétaire
- provence
- public
- publiques
- putain
- qingyun
- qualitative
- quand
- quantique
- quest
- quilles
- quitter
- quiz
- raison
- rapport
- reader
- recherche
- recrutement
- recuperer
- reçus
- refondation
- régions
- regrets
- reich
- relation
- religieux
- religion
- remercie
- remerciements
- remparts
- renaissance
- rendu
- repellent
- représentation
- représentations
- république
- résolution
- responsabilités
- ressentiment
- ressources
- résumé
- retour
- retraite
- retranscription
- réunion
- réussir
- revard
- rever
- rimbaud
- rings
- rochelle
- roger
- romain
- rouen
- royaume
- sacré
- sagesse
- saint
- santé
- santeuil
- sartre
- sceau
- scène
- science
- sciences
- scientifique
- scolaire
- scolarisation
- séances
- season
- seconde
- secrets
- secteur
- securité
- sécurité
- seine
- selon
- séparation
- série
- serreau
- siècle
- silence
- simone
- sites
- situation
- skin
- slimane
- sociale
- socialisation
- soeur
- soft
- soldats
- sommaire
- sorbonne
- sorcier
- sorts
- sounds
- soutenance
- spain
- spirit
- stage
- statue
- stephane
- strasbourg
- study
- style
- succession
- sujet
- supprimer
- symbole
- synchronisé
- synonyme
- table
- tableau
- telecharger
- télécharger
- télévision
- temple
- temps
- terminale
- terre
- testament
- texte
- thebaut
- thérapeutique
- toison
- toulon
- tourisme
- tours
- toute
- trafic
- tranche
- trans
- transformateur
- travail
- trois
- trotskisme
- trouble
- types
- ulysse
- unique
- uniquement
- usées
- vacataire
- valette
- variable
- velin
- verbe
- verbes
- verdun
- véridique
- vérité
- verre
- versailles
- verte
- victoire
- victor
- vieille
- vierenault
- visage
- vivante
- vivre
- voiture
- votre
- voyage
- warhol
- weber
- witcher
- wolf
- world
- xviie
- zabel
-
Ce service à une capacité daccueil de 90 lits dont 76 en chambres simples et 14 en chambres doubles. FR 00 401 031 364. Analyse De Pratiqu...
-
Bienvenue au jardin. Les métiers autour de lHistoire. Dans Ma Classe Il Y A Archeologue Maths Ce2 Ce2 Il est valable pour 2 semaines. Le ...
-
Il est toutefois possible de dégager certaines tendances sociologiques et de constater certaines évolutions. Au nombre de deux chacun dirige...
